开云链接官网(中国)有限公司-官网李刚副教授等人在无中微子双贝塔衰变研究中取得了重要进展
开云链接官网(中国)有限公司-官网理论物理团队李刚副教授作为通讯作者,与上海交通大学李政道研究所 Michael J. Ramsey-Musolf 教授等合作者,在粒子物理国际主流期刊《Journal of High Energy Physics》上发表了题为 “Light Sterile Neutrinos, Left-Right Symmetry, and 0νββ Decay” 的研究论文。
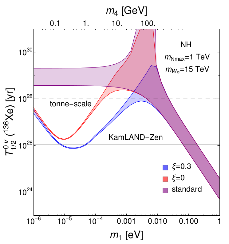
无中微子双贝塔衰变是当前粒子物理和核物理领域的重大科学前沿课题之一。通过寻找无中微子双贝塔衰变过程,有望直接确定中微子是否为马约拉纳费米子、检验轻子数是否守恒以及解决中微子质量起源问题等。这些重要科学问题的解答为宇宙中正反物质不对称性等科学难题提供自然而有效的解决方案。无中微子双贝塔衰变研究的前沿课题之一是结合中微子实验结果限制新物理贡献的参数空间,为下一代寻找无中微子双贝塔过程的实验提供有力的理论支持。
李刚副教授等人利用手征有效场论方法计算了左右对称模型中轻惰性中微子对无中微子双贝塔衰变过程的贡献。该工作的创新之处在于利用近年来发展起来的有效场论方法得到对任意质量惰性中微子都适用的理论结果。通过结合中微子振荡实验、高能对撞机实验、宇宙学精确测量以及各种低能精确测量实验的限制,得到非常可观的参数区间,有望在下一代无中微子双贝塔衰变实验中被直接检验。同时,提出的理论框架可以方便地拓展到其它中微子质量模型中无中微子双贝塔衰变的研究。

论文链接:
https://doi.org/10.1007/JHEP11(2022)056
李刚副教授简介:
/zh-hans/teacher/1883
